Train Cancellation List: पंजाब बंद से वंदे भारत और शताब्दी समेत 221 ट्रेनें प्रभावित, कौन-कौन ट्रेन हुई रद्द यहां देखें लिस्ट
चंडीगढ़, 30 दिसंबर (ट्रिन्यू) Train Cancellation List: पंजाब में किसानों द्वारा बुलाए गए 'पंजाब बंद' का असर सोमवार को व्यापक रूप से देखा जा रहा है। आंदोलन के कारण राज्य में सड़क और रेल सेवाएं बाधित हो गई हैं। किसान...
चंडीगढ़, 30 दिसंबर (ट्रिन्यू)
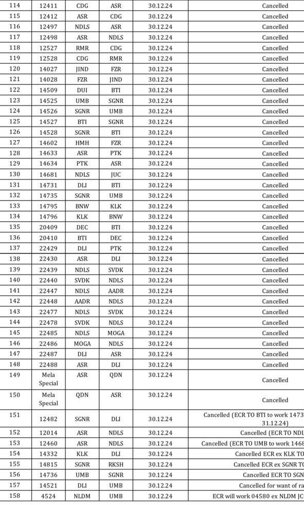
Train Cancellation List: पंजाब में किसानों द्वारा बुलाए गए 'पंजाब बंद' का असर सोमवार को व्यापक रूप से देखा जा रहा है। आंदोलन के कारण राज्य में सड़क और रेल सेवाएं बाधित हो गई हैं। किसान संगठनों के ‘रेल रोको’ आंदोलन के चलते वंदे भारत और शताब्दी सहित 221 ट्रेनें प्रभावित हुई हैं।
Punjab Bandh: वंदे भारत और शताब्दी पर असर
कई प्रमुख ट्रेनें रद्द की गई हैं, जिनमें वंदे भारत एक्सप्रेस और शताब्दी एक्सप्रेस शामिल हैं। नई दिल्ली से वैष्णो देवी और अंब अंदौरा के बीच चलने वाली दो वंदे भारत ट्रेनें रद्द कर दी गई हैं। चंडीगढ़ से अजमेर के बीच चलने वाली वंदे भारत एक्सप्रेस अब दिल्ली कैंट तक ही चलेगी।
शताब्दी एक्सप्रेस की तीन सेवाएं—कालका, चंडीगढ़, और अमृतसर के लिए—भी प्रभावित हैं। कुल 163 ट्रेनों को रद्द किया गया है, जबकि 14 को नियंत्रित, 13 को पुनर्निर्धारित, 15 को शॉर्ट-ओरिजिनेट, और 22 को शॉर्ट-टर्मिनेट किया गया है।
यह भी पढ़ें: Punjab Bandh: किसान संगठनों के अह्वान पर पंजाब बंद आज, रेल व सड़क यातायात प्रभावित
Punjab Bandh: अन्य राज्यों पर प्रभाव
पंजाब के साथ-साथ हरियाणा, जम्मू-कश्मीर, हिमाचल प्रदेश और चंडीगढ़ में चलने वाली पैसेंजर, एक्सप्रेस और इंटरसिटी ट्रेनों पर भी असर पड़ा है। बंद के चलते परिवहन सेवाएं दोपहर 4 बजे तक बाधित रहेंगी।
Punjab Bandh: बस सेवाएं भी बाधित
पंजाब रोडवेज (पीआरटीसी) बस सेवाएं सुबह 10 बजे से दोपहर 2 बजे तक निलंबित रहेंगी। निजी बस ऑपरेटरों ने अपनी सेवाएं सुबह 7 बजे से शाम 4 बजे तक रोक दी हैं।
Punjab Bandh: सेवाएं सामान्य होने की उम्मीद
रेलवे अधिकारियों के अनुसार, आंदोलन खत्म होने के बाद शाम 4 बजे के बाद सेवाएं धीरे-धीरे सामान्य होनी शुरू होंगी। बंद का आयोजन संयुक्त किसान मोर्चा (गैर-राजनीतिक) और किसान मजदूर मोर्चा (केएमएम) ने किया है।







